CAGR
CAGR là viết tắt của cụm từ “Compound Annual Growth Rate” - “Tỷ lệ tăng trưởng kép hằng năm”.
CAGR thường được sử dụng để đo lường và so sánh tốc độ tăng trưởng trong một giai đoạn của doanh thu, lợi nhuận doanh nghiệp, hay các khoản đầu tư.
CAGR rất hữu ích khi so sánh mức sinh lời của các khoản đầu tư khác nhau theo thời gian. Phương pháp này cũng tỏ ra vượt trội hơn khi có tính đến yếu tố giá trị thời gian của tiền.
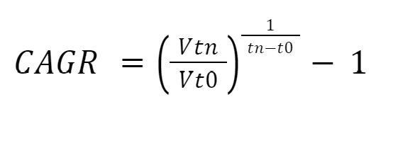
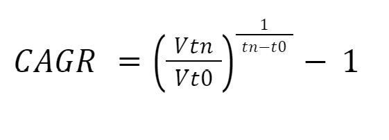
Công thức tính CAGR khá đơn giản, chỉ cần ba yếu tố đầu vào chính gồm: Giá trị ban đầu, giá trị cuối cùng và khoảng thời gian.
Theo Investopedia, tỷ lệ tăng trưởng kép hàng năm (CAGR) là tỷ suất lợi nhuận để một khoản đầu tư tăng từ số dư ban đầu lên số dư cuối kỳ, với giả định lợi nhuận được tái đầu tư định kỳ hằng năm trong suốt quá trình. CAGR được tính theo đơn vị phần trăm.
CAGR thường được sử dụng để đo lường và so sánh tốc độ tăng trưởng trong một giai đoạn của doanh thu, lợi nhuận doanh nghiệp, hay tốc độ tăng trưởng tài sản ròng của các quỹ đầu tư, cổ phiếu, các dự án đầu tư,...
Cách tính
CAGR được tính khá đơn giản, chỉ cần ba yếu tố đầu vào chính gồm: Giá trị ban đầu, giá trị cuối cùng và khoảng thời gian. Công thức như sau:
Với:
Vt0: giá trị ban đầu tại thời điểm t0;
Vtn: Giá trị kết thúc tại thời điểm tn;
tn-t0: số kỳ tính toán, thường được tính theo năm.
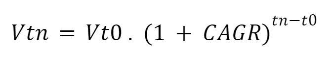
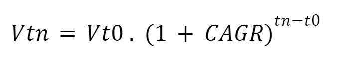
Về bản chất, CAGR cũng chính là tỷ lệ lãi suất (r) trong công thức tính giá trị thời gian của tiền. Với:
Thay đổi các đại lượng ta được:
Lãi kép
Ví dụ thực tế
Trong năm 2020, HPG ghi nhận mức lợi nhuận ròng kỷ lục, đạt 13.506 tỷ đồng, tăng 78,22% so với năm 2019. Doanh thu đạt 91,279 tỷ đồng, tăng 41,13% và đạt tỷ lệ tăng trưởng kép hàng năm (CAGR) trong giai đoạn 2016-2020 ở mức 28,11%.
Trích bài báo: HPG - Tăng trưởng khả quan | Vietstock Finance
Theo BCTC của tập đoàn Hòa Phát, doanh thu thuần trong giai đoạn 2016-2020 đạt được như sau:
Năm
2016
2017
2018
2019
2020
Doanh thu (tỷ đồng)
33.885
46.855
56.580
64.678
91.279
Như vậy, để tính CAGR doanh thu HPG trong giai đoạn 2016-2020 ta có các dữ kiện sau:
t0=2016;
tn = 2020;
Vt0 = 33.885 tỷ đồng;
Vtn = 91.279 tỷ đồng.
Áp dụng công thức:
= 28,11%
Tính CAGR trong excel
Để tính CAGR trong Excel có thể thực hiện theo hai cách:
Cách 1: áp dụng công thức tính CAGR.
Cách 2: Sử dụng hàm Power.
POWER (number, power)
Với number là cơ số và power là số mũ.
Để tạo công thức tính CAGR dựa trên hàm POWER, xác định tham số như sau:
Number: giá trị kết thúc (Vtn)/giá trị bắt đầu (Vt0)
Power : 1 / số chu kì (số chu kỳ = tn-t0)
Lấy ví dụ trên, ta có thể tính CAGR bằng Excel theo 2 cách như sau:

Ưu nhược điểm
Ưu điểm
CAGR là công cụ hiệu quả để so sánh mức sinh lời của các khoản đầu tư khác nhau theo thời gian.
Phương pháp này cũng thể hiện sự vượt trội hơn cách tính tỷ suất sinh lời thông thường, vì có tính đến yếu tố giá trị thời gian của tiền.
CAGR cũng có thể được vận dụng để dự đoán tốc độ tăng trưởng doanh thu, lợi nhuận cần đạt được để hoàn thành mục tiêu.
Ví dụ, công ty A đặt mục tiêu doanh thu đạt 100 triệu USD sau 5 năm, doanh thu hiện tại của công ty là 20 triệu USD. Như vậy để đạt được mục tiêu này, công ty A phải đặt mục tiêu tăng trưởng doanh thu hằng năm tối thiểu từ 37,97%. Cách tính như sau:
= 37, 97%
Nhược điểm
Như đã đề cập, mặc dù CAGR rất hữu ích khi so sánh các khoản đầu tư ổn định trong khoảng thời gian nhất định. Tuy nhiên, CAGR không thể đánh giá chi tiết các biến động xảy ra trong khoảng thời gian đó. Điều này có thể gây ảnh hưởng đến quyết định đầu tư vốn. Chẳng hạn, giả sử bạn có một khoản đầu tư 100 triệu USD đã đăng những thay đổi này trong ba năm:
Năm
Giá trị (triệu USD)
Tăng / giảm so với năm trước
T0
100
T1
125
25%
T2
75
-40%
T3
115,5
+54%
Như vậy có thể thấy, CAGR trong 3 năm của khoản đầu tư chỉ ở mức 4,9%/năm, nhưng biến động ở từng năm lại rất lớn.
Nguồn tham khảo:







