DCF
Dòng tiền chiết khấu (Discounted Cash Flows – DCF) là một phương pháp ước tính giá trị của khoản đầu tư dựa trên các dòng tiền trong tương lai của nó.
💡 DCF giúp nhà đầu tư xác định giá trị hiện tại của một cơ hội đầu tư ngày hôm nay, dựa trên dự đoán về việc công ty sẽ tạo ra bao nhiêu tiền trong tương lai.
Hiểu một cách đơn giản: một công ty càng tạo ra nhiều tiền thì càng giá trị.
Theo phương pháp này, nhà phân tích cần phải dự phóng các dòng tiền công ty sẽ tạo ra trong tương lai, sau đó chiết khấu về giá trị hiện tại với một lãi suất chiết khấu hợp lý.
Dòng tiền chiết khấu (Discounted Cash Flows – DCF) là một phương pháp ước tính giá trị của khoản đầu tư dựa trên các dòng tiền trong tương lai của nó. DCF giúp nhà đầu tư xác định giá trị hiện tại của một cơ hội đầu tư ngày hôm nay, dựa trên dự đoán về việc công ty sẽ tạo ra bao nhiêu tiền trong tương lai.
DCF được sử dụng phổ biến trong định giá doanh nghiệp, vì nó thể hiện được giá trị của một công ty dựa vào khả năng tạo ra dòng tiền trong tương lai. Hiểu một cách đơn giản: một công ty càng tạo ra nhiều tiền thì càng giá trị. Theo phương pháp này, nhà phân tích cần phải dự phóng các dòng tiền công ty sẽ tạo ra trong tương lai, sau đó chiết khấu về giá trị hiện tại với một lãi suất chiết khấu hợp lý.
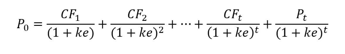
Công thức tính
Phương pháp DCF được thể hiện theo công thức sau:
Trong đó:
P0 là giá trị hiện tại của các dòng tiền được tính theo DCF. Đây cũng là giá trị nội tại của doanh nghiệp hoặc một dự án.
CFt là các “dòng tiền” trong tương lai, CFt có thể là dòng tiền từ dự án, dòng cổ tức hoặc là dòng tiền tiền tự do (FCF) của doanh nghiệp;
ke là lãi suất chiết khấu, thường được lấy theo tỷ suất sinh lời kỳ vọng của nhà đầu tư;
t là khoảng thời gian dự phóng, thường được tính bằng năm.
Pt là giá trị của khoản đầu tư ở thời điểm t, còn được gọi là giá trị cuối kỳ.
Ví dụ: Trong 3 năm tới, công ty ABC dự tính chia cổ tức lần lượt là 2.000 đồng/cổ phiếu, 2.100 đồng/cổ phiếu và 3.000 đồng/cổ phiếu. Giá trị của một cổ phiếu của công ty được kỳ vọng là 30.000 đồng tại thời điểm cuối năm thứ 3. Tỷ suất sinh lời kỳ vọng (ke) khi đầu tư vào công ty là 10%. Như vậy giá trị nội tại (P0) của công ty được tính như sau:
t=3, ke=10%
Năm 1
Năm 2
Năm 3
Giá trị công ty vào cuối năm 3
CFt
2.000
2.100
3.000
30.000
2.000
(1+10%)
2.100
(1+10%)^2
3.000
(1+10%)^3
30.000
(1+10%)^3
P0 =
1.818 + 1.735 + 2.254 + 22.539
Như vậy giá trị nội tại của cổ phiếu ABC là:
P0 = 28.346 đồng
Các yếu tố cần xác định trước khi định giá
Thứ nhất, dự phóng dòng tiền (CFt): để thực hiện DCF, dòng tiền chính là yếu tố cốt lõi. Khi dự phóng dòng tiền cần lưu ý chỉ nên dự phóng dựa vào các thông tin đáng tin cậy như triển vọng kinh doanh của doanh nghiệp, tính khả thi của dự án,... Thời gian dự phóng cũng cần được chú trọng. Thời gian dự phóng thường nằm trong khoảng từ 5 đến 10 năm. Vì thời gian càng dài thì việc dự phóng dòng tiền càng thiếu chính xác.
Thứ hai, xác định giá trị cuối kỳ (Pt): trong các phương pháp chiết khấu dòng tiền, giá trị cuối kỳ sẽ là giá trị mà nhà đầu tư nhận lại khi tất toán khoản đầu tư. Đối với trái phiếu, giá trị cuối kỳ sẽ là phần mệnh giá mà công ty thanh toán cho nhà đầu tư khi đáo hạn. Tuy nhiên trong định giá công ty, giá trị cuối kỳ được hiểu là giá trị nội tại của công ty tại thời điểm ‘t’.
Thứ ba, lãi suất chiết khấu (ke): lãi suất chiết khấu trong phương pháp DCF còn được gọi là tỷ suất lợi nhuận kỳ vọng, là mức sinh lời mà nhà đầu tư kỳ vọng nhận được khi đầu tư vào doanh nghiệp. Do đó, lãi suất chiết khấu thường phải cao hơn mức lãi suất của các khoản đầu tư phi rủi ro như trái phiếu chính phủ hay gửi tiết kiệm. Các nhà phân tích thường sử dụng “mô hình định giá tài sản vốn (CAPM)” hoặc chi phí sử dụng vốn bình quân (WACC) để làm lãi suất chiết khấu.



