DDM
DDM là viết tắt của Dividend Discount Method, còn được gọi là phương pháp chiết khấu dòng cổ tức. Đây là một phương pháp định giá doanh nghiệp thông qua ước tính tổng giá trị hiện tại của các dòng
💡 DDM sử dụng cổ tức bằng tiền để làm tham số cho mô hình định giá. Trong đó, cổ tức bằng tiền được chia thành hai loại gồm: Cổ tức bằng tiền của cổ phiếu thường và cổ tức bằng tiền của cổ phiếu ưu đãi cổ tức.
DDM được chấp nhận rộng rãi trong việc định giá cổ phiếu vì thể hiện được giá trị của cổ phiếu dựa trên các khoản lợi nhuận từ cổ tức được chi trả cho nhà đầu tư.
Hạn chế lớn nhất của phương pháp này nằm ở chỗ các dòng cổ tức phải được dự phóng. Việc này thường không đơn giản do tính không ổn định trong các chính sách phân phối lợi nhuận của doanh nghiệp.
DDM là viết tắt của Dividend Discount Method, còn được gọi là phương pháp chiết khấu dòng cổ tức. Đây là một phương pháp định giá doanh nghiệp thông qua ước tính tổng giá trị hiện tại của các dòng cổ tức bằng tiền.
Cổ tức trong DDM
DDM sử dụng cổ tức bằng tiền để làm tham số cho mô hình định giá. Trong đó, cổ tức bằng tiền được chia thành hai loại gồm: Cổ tức bằng tiền của cổ phiếu thường và cổ tức bằng tiền của cổ phiếu ưu đãi cổ tức.
Khác với cổ phiếu thường, cổ phiếu ưu đãi cổ tức cho chủ sở hữu sẽ được nhận một khoản cổ tức không đổi định kỳ. Do đó khi định giá cổ phiếu ưu đãi cổ tức, người ta thường áp dụng phương pháp chiết khấu cho chuỗi các dòng tiền không đổi.
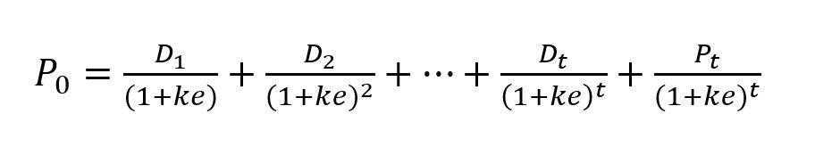
Công thức tính
Đối với cổ phiếu thường
Trong đó:
P0: giá trị của một cổ phiếu ở thời điểm hiện tại;
D: cổ tức mà nhà đầu tư kỳ vọng nhận được trong tương lai;
Ke: tỷ suất lợi nhuận mà nhà đầu tư kỳ vọng nhận được khi mua cổ phiếu. ke thường được xác định bằng mô hình CAPM;
Pt: Giá cổ phiếu kỳ vọng tại thời điểm cuối năm t.
Ví dụ: Trong 3 năm tới, cổ phiếu ABC được kỳ vọng sẽ chi trả cổ tức lần lượt là 2.000 đồng, 2.100 đồng và 2.200 đồng. Giá cổ phiếu được kỳ vọng là 20.000 đồng tại thời điểm cuối năm thứ 3. Biết lợi suất yêu cầu (ke) của cổ phiếu này là 10%. Tính giá trị P0 của cổ phiếu.
Giá trị hiện tại của các dòng cổ tức trong tương lai của cổ phiếu trên được tính như sau:
P0 = 20.230 đồng.
Giá trị hiện tại của cổ phiếu ABC theo phương pháp DDM là 20.230 đồng.
Lưu ý: Trong trường hợp công ty được kỳ vọng sẽ chi trả cổ tức với tốc độ tăng trưởng không đổi và mãi mãi, ta có thể áp dụng mô hình tăng trưởng Gordon để định giá.
Đối với cổ phiếu ưu đãi cổ tức
Người nắm giữ cổ phiếu ưu đãi được nhận một khoản cổ tức không đổi hàng năm. Do đó ta có công thức định giá cổ phiếu ưu đãi sẽ được tính theo mô hình tăng trưởng Gordon với tốc độ tăng trưởng “g=0’’. Ta có công thức định giá như sao:
Trong đó:
Ppf: là giá trị hiện tại của cổ phiếu ưu đãi cổ tức
D: là cổ tức định kỳ hằng năm;
ke: tỷ suất lợi nhuận mà nhà đầu tư kỳ vọng nhận được khi mua cổ phiếu. ke thường được xác định bằng mô hình CAPM.
Ví dụ: Tính giá của cổ phiếu ưu đãi của công ty ABC với cổ tức được nhận mỗi năm là 1.500 đồng / cổ phiếu, tỷ suất lợi nhuận yêu cầu là 12%.
Giá trị hiện tại của các dòng cổ tức của cổ phiếu ưu đãi trên được tính như sau:
Giá trị hiện tại của cổ phiếu ưu đãi của công ty ABC được tính theo phương pháp DDM là 12.500 đồng.
Ưu điểm và hạn chế
Giống với các phương pháp khác trong mô hình định giá chiết khấu dòng tiền DCF, DDM được chấp nhận rộng rãi trong việc định giá doanh nghiệp vì thể hiện được đúng giá trị của các doanh nghiệp dựa trên các khoản lợi nhuận từ cổ tức được chi trả cho nhà đầu tư.
Hạn chế lớn nhất của phương pháp này nằm ở chỗ các dòng cổ tức phải được dự phóng. Việc này thường không đơn giản do tính không ổn định trong các chính sách phân phối lợi nhuận của doanh nghiệp. Trên thực tế có nhiều doanh nghiệp áp dụng chính sách không chi trả cổ tức trong nhiều năm mặc dù vẫn làm ăn có lãi.






