Định giá doanh nghiệp
Định giá là việc xác định giá trị nội tại (“intrinsic value”) của doanh nghiệp đó.
💡 Giá trị của công ty xem xét dựa trên hai góc độ: giá trị thanh lý và giá trị hoạt động.
Về cơ bản, có 3 nhóm phương pháp xác định giá trị doanh nghiệp được áp dụng phổ biến, đó là: Phương pháp định giá chiết khấu dòng tiền, phương pháp so sánh, phương pháp định giá dựa trên tài sản.
Việc sử dụng các phương pháp định giá khác nhau có thể sẽ cho ra những kết quả khác nhau về giá trị nội tại của doanh nghiệp. Đây đơn giản chỉ là giá trị hợp lý của doanh nghiệp dưới các góc nhìn khác nhau của người phân tích.
Định giá là việc xác định giá trị nội tại (“intrinsic value”) của doanh nghiệp đó. Giá trị nội tại có thể hiểu là giá trị hợp lý của công ty được xác định dựa trên các yếu tố cơ bản như tài sản, khả năng tạo ra lợi nhuận, dòng tiền... Các yếu tố cơ bản này sẽ được nhà phân tích đưa vào áp dụng cùng với phương pháp định giá thích hợp để ra được giá trị nội tại.
Giá trị nội tại của công ty
Giá trị nội tại của công ty xem xét dựa trên hai góc độ: giá trị thanh lý và giá trị hoạt động.
Giá trị thanh lý là giá trị của toàn bộ số tiền thu được trong trường hợp doanh nghiệp chấm dứt hoạt động và bán tất cả các tài sản của nó.
Giá trị hoạt động là giá trị hiện tại của các “dòng tiền” được tạo ra trong tương lai từ hoạt động kinh doanh của doanh nghiệp.
Các phương pháp định giá
Có rất nhiều phương pháp để định giá doanh nghiệp. Tuy nhiên, xét về cơ bản, có 3 nhóm phương pháp xác định giá trị doanh nghiệp được áp dụng phổ biến, đó là:
Phương pháp định giá chiết khấu dòng tiền (Discounted Cash flow Models - DCF);
Phương pháp định giá so sánh;
Phương pháp định giá dựa trên tài sản (Asset-based Models).
Phương pháp định giá chiết khấu dòng tiền (DCF)
Phương pháp này dựa trên nguyên tắc: giá trị của doanh nghiệp nằm ở khả năng tạo ra dòng tiền trong tương lai. Để thực hiện phương pháp này đòi hỏi phải dự phóng dòng tiền mà doanh nghiệp tạo ra trong tương lai, kết hợp yếu tố tiền có giá trị thay đổi theo thời gian. Do đó, để xác định đúng giá trị của doanh nghiệp, các lợi tức mà doanh nghiệp tạo ra trong tương lai cần phải được chiết khấu về hiện tại.
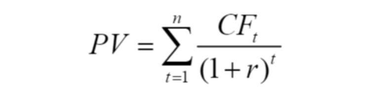
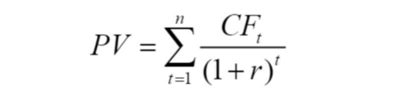
Phương pháp định giá theo chiết khấu dòng tiền được thể hiện theo công thức sau:
Trong đó:
PV là giá trị hiện tại của doanh nghiệp được tính theo phương pháp chiết khấu dòng tiền.
CFt là các dòng tiền trong tương lai của doanh nghiệp, CFt có thể là cổ tức hoặc là dòng tiền tiền tự do của chủ sở hữu (FCFE), tùy thuộc vào phương pháp được áp dụng;
r là lãi suất chiết khấu, thường được lấy theo tỷ suất sinh lời kỳ vọng của nhà đầu tư;
t là khoảng thời gian dự phóng, thường được tính bằng năm.
Ưu điểm của phương pháp DCF là thể hiện được đúng giá trị của các doanh nghiệp dựa trên khả năng tạo ra lợi nhuận hay chính xác hơn là dòng tiền. Tuy nhiên, để thực hiện phương pháp này thì việc dự phóng lợi nhuận doanh nghiệp là một yêu cầu quan trọng bắt buộc. Việc này thường không đơn giản do tính không ổn định của nhiều yếu tố, từ môi trường kinh doanh, thị trường và nội tại doanh nghiệp.
Ngoài ra, để đảm bảo tính chính xác thì thời gian dự báo cũng không nên quá dài. Khi doanh nghiệp có những thay đổi về chiến lược kinh doanh, như áp dụng công nghệ mới hoặc mở rộng quy mô sản xuất ảnh hưởng đến lợi nhuận trong tương lai, việc định giá phải được cập nhật theo các dữ liệu mới.
Phương pháp định giá so sánh
Phương pháp này thực hiện bằng việc so sánh giữa doanh nghiệp cần định giá với doanh nghiệp tương tự, cùng ngành hoặc có cùng đặc điểm kinh doanh.
Các phương pháp định giá so sánh phổ biến là:
P/E: giá cổ phiếu trên lợi nhuận của một cổ phiếu (EPS hay earning-per-share);
P/B: giá cổ phiếu chia cho giá trị sổ sách của mỗi cổ phiếu;
P/S: giá cổ phiếu chia cho doanh thu trên mỗi cổ phiếu;
P/CF: giá cổ phiếu chia cho dòng tiền trên mỗi cổ phiếu (dòng tiền có thế là dòng tiền tự do hoặc dòng tiền từ hoạt động sản xuất kinh doanh);
EV/EBITDA: giá trị thị trường của công ty chia cho EBITDA.
Ưu điểm của phương pháp so sánh là dễ dàng thực hiện với các số liệu đơn giản và dễ tìm. Các số liệu về P/E, P/B của doanh nghiệp thường được tính toán và cập nhật thường xuyên trên các trang web tài chính, hay trên các báo cáo của các công ty chứng khoán. Hạn chế lớn nhất của phương pháp này là không phải lúc nào cũng tìm được doanh nghiệp tương tự để so sánh.
Ví dụ, để tiến hành so sánh Vingroup, nhà phân tích phải tìm được một doanh nghiệp có mô hình kinh doanh tương tự trong các lĩnh vực như: bất động sản, y tế, giáo dục, sản xuất xe điện, xe hơi...
Phương pháp định giá dựa trên tài sản
Theo phương pháp này, giá trị của doanh nghiệp chính là tổng giá trị tài sản ròng của doanh nghiệp đó, được xác định một cách cơ sở và hợp lý. Phương pháp định giá này được thực hiện dựa trên công thức tổng quát sau:
Giá trị doanh nghiệp = Giá trị thị trường của Tài sản - Giá trị thị trường của Nợ phải trả
Phương pháp này có thể xác định giá trị tối thiểu của một doanh nghiệp, dựa trên giá trị thanh lý của những tài sản mà doanh nghiệp đang nắm giữ. Việc xác định giá thị trường của tài sản sẽ chính xác hơn, nếu đó là tài sản hữu hình và có tính thanh khoản. Ngược lại, tài sản vô hình sẽ khó định giá và tính thanh khoản cũng không cao. Do đó, phương pháp này khó áp dụng cho các doanh nghiệp có nhiều tài sản vô hình, ví dụ như các công ty công nghệ.
Hạn chế của việc định giá
Khi quyết định sử dụng phương pháp nào để định giá công ty, nhiều nhà phân tích sẽ dễ bị rối bởi có quá nhiều lựa chọn. Mỗi phương pháp khác nhau đòi hỏi phải có những thông tin khác nhau. Đồng thời kỹ thuật áp dụng cũng không giống nhau.
Việc sử dụng các phương pháp định giá khác nhau có thể sẽ cho ra những kết quả khác nhau về giá trị nội tại của doanh nghiệp. Đây đơn giản chỉ là giá trị hợp lý của doanh nghiệp dưới các góc nhìn khác nhau của người phân tích.



