Định Giá Doanh Nghiệp #3: Discounted Cash Flows - cứ áp công thức vào là được?
Đã từ lâu DCF (Discounted Cash Flows) là một phương pháp được sử dụng phổ biến trong định giá công ty. Tuy nhiên, liệu rằng để xác định “giá trị nội tại” của công ty theo phương pháp này có thực
Hiểu về “giá trị nội tại”
Định giá được hiểu là việc tìm ra “giá trị nội tại” của doanh nghiệp, làm cơ sở cho việc ra các quyết định đầu tư, thoái vốn, M&A. Giá trị nội tại có thể hiểu là giá trị hợp lý của công ty được xác định dựa trên các yếu tố cơ bản như tài sản, khả năng tạo ra lợi nhuận, dòng tiền... Các yếu tố cơ bản này sẽ được nhà phân tích đưa vào áp dụng cùng với phương pháp định giá thích hợp để ra được giá trị nội tại.
Giá trị nội tại thường được so sánh với giá thị trường của doanh nghiệp. Nếu giá thị trường thấp hơn giá trị nội tại, có nghĩa là doanh nghiệp này đang bị định giá thấp hơn giá trị nội tại. Từ đó nhà đầu tư sẽ ra quyết định mua doanh nghiệp này với kỳ vọng trong tương lai giá thị trường của doanh nghiệp sẽ về đúng với giá trị thực. Trong các thương vụ M&A hoặc gọi vốn, giá trị nội tại sẽ là cơ sở để các bên xác định giá trị của thương vụ, từ đó đưa ra các yêu cầu phù hợp.
Có thể hiểu, việc định giá một công ty không nhằm mục đích tìm kiếm một giá trị “chính xác”, mà là giá trị “hợp lý’’ để làm căn cứ cho việc ra quyết định mua - bán, góp vốn vào doanh nghiệp. Tính “hợp lý” này được thể hiện qua quá trình mà nhà phân tích tìm ra giá trị nội tại, cụ thể thông qua việc sử dụng các yếu tố đầu vào là các giả định hợp lý và áp dụng phương pháp định giá hợp lý.
Các yếu tố để định giá một công ty
Khi xem xét giá trị nội tại của một công ty, ta thường xem xét dựa trên hai góc độ: giá trị thanh lý và giá trị hoạt động.
Giá trị thanh lý là giá trị của toàn bộ số tiền thu được trong trường hợp doanh nghiệp chấm dứt hoạt động và bán tất cả các tài sản của nó.
Giá trị hoạt động là giá trị hiện tại của các “dòng tiền” được tạo ra trong tương lai từ hoạt động kinh doanh của doanh nghiệp.
Dưới góc độ giá trị hoạt động, một công ty sẽ được định giá dựa trên khả năng tạo ra lợi nhuận, cụ thể hơn là tạo ra “dòng tiền”. Và khi mua doanh nghiệp, cũng có nghĩa rằng nhà đầu tư không chỉ sở hữu tài sản, mà còn tất cả các dòng tiền trong tương lai mà doanh nghiệp tạo ra. Do đó giá trị nội tại “hợp lý” của doanh nghiệp sẽ là tổng giá trị của các dòng tiền tương lai. Kết hợp với yếu tố giá trị thời gian của tiền, các dòng tiền này sẽ được chiết khấu về giá trị hiện tại. Phương pháp xác định giá trị công ty dựa trên chiết khấu các dòng tiền tương lai được gọi là DCF (Discounted Cash Flows).
Định Giá Doanh Nghiệp #1: Để không bị “ngáo giá” - 3 phương pháp định giá công ty mà chủ doanh nghiệp cần biết
DCF hoạt động như thế nào?
DCF là một phương pháp định giá được sử dụng phổ biến, vì nó thể hiện được giá trị của một công ty dựa vào khả năng tạo ra dòng tiền trong tương lai. Hiểu một cách đơn giản: một công ty càng tạo ra nhiều tiền thì càng giá trị. Theo phương pháp này, nhà phân tích cần phải dự phóng các dòng tiền công ty sẽ tạo ra trong tương lai, sau đó chiết khấu về giá trị hiện tại với một lãi suất chiết khấu hợp lý.
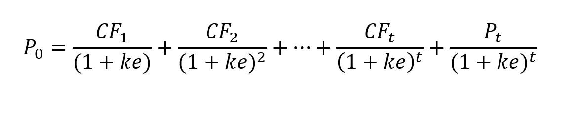
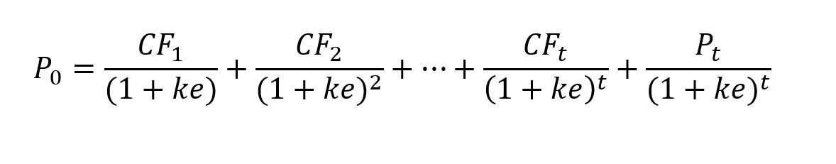
Phương pháp DCF được thể hiện theo công thức sau:
Trong đó:
P0 là giá trị hiện tại của doanh nghiệp được tính theo phương pháp chiết khấu dòng tiền.
CFt là các “dòng tiền” trong tương lai của doanh nghiệp, CFt có thể là dòng cổ tức hoặc là dòng tiền tiền tự do (FCF) của doanh nghiệp;
ke là lãi suất chiết khấu, thường được lấy theo tỷ suất sinh lời kỳ vọng của nhà đầu tư;
t là khoảng thời gian dự phóng, thường được tính bằng năm.
Pt là giá trị nội tại của công ty ở thời điểm t, còn được gọi là giá trị cuối kỳ.
Ví dụ: Trong 3 năm tới, dòng tiền tự do thuộc về chủ sở hữu (FCFE) mỗi năm của một công ty được dự phóng lần lượt là 200 triệu, 210 triệu và 220 triệu đồng. Giá trị của công ty được kỳ vọng là 2 tỷ đồng tại thời điểm cuối năm thứ 3. Tỷ suất sinh lời kỳ vọng (ke) khi đầu tư vào công ty là 10%. Như vậy giá trị nội tại (P0) của công ty được tính như sau:
Như vậy giá trị nội tại của công ty sẽ là:
P0 = 1,89 tỷ đồng
Giá trị thời gian của tiền. Đơn giản thôi!
Định giá vốn chủ sở hữu và định giá toàn bộ doanh nghiệp
Phương pháp chiết khấu dòng tiền được thể hiện bằng ba phương pháp chính bao gồm: phương pháp chiết khấu dòng cổ tức (DDM), phương pháp chiết khấu dòng tiền thuần thuộc về chủ sở hữu (FCFE), phương pháp chiết khấu dòng tiền thuần của doanh nghiệp (FCFF). Ba phương pháp này thể hiện các mục đích khác nhau của người phân tích:
Thứ nhất, phương pháp chiết khấu dòng cổ tức: phương pháp này có ý nghĩa một cổ phiếu của công ty sẽ có giá trị bao nhiêu dựa trên các dòng cổ tức kỳ vọng nhận được trong tương lai. Phương pháp này phù hợp với các nhà đầu tư nhỏ với mục đích đầu tư vào công ty có hoạt động kinh doanh ổn định để hưởng lợi từ cổ tức.
Thứ hai, phương pháp chiết khấu dòng tiền thuần thuộc về doanh nghiệp (FCFF): đây là phương pháp định giá doanh nghiệp dựa trên góc nhìn của nhà đầu tư đa số với mục đích mua và kiểm soát doanh nghiệp. Giá trị doanh nghiệp chính là giá trị của các dòng tiền thuần trong tương lai được tạo ra. FCFF phản ánh dòng tiền sau thuế tạo ra từ hoạt động của công ty để phân chia cho các chủ nợ và chủ sở hữu, không xem xét đến cơ cấu nguồn vốn. Như vậy giá trị doanh nghiệp tính theo phương pháp này sẽ là giá trị doanh nghiệp tổng thể - bao gồm giá trị thuộc về các chủ sở hữu và các chủ nợ.
Thứ ba, phương pháp chiết khấu dòng tiền thuần thuộc về chủ sở hữu (FCFE): FCFE là dòng tiền thuộc về chủ sở hữu sau khi đã trừ đi phần chi tiêu vốn cho đầu tư tài sản và thanh toán nợ gốc. Khác với FCFF, FCFE chỉ quan tâm đến dòng tiền thuần cuối cùng thuộc về các cổ đông, là chủ sở hữu của công ty. Khi sử dụng phương pháp này, giá trị của doanh nghiệp sẽ là giá trị phần vốn chủ sở hữu của doanh nghiệp thuộc về các cổ đông.
Công thức áp dụng để tính dòng tiền chiết khấu là như nhau đối với các phương pháp khác nhau. Tuy nhiên, với các “dòng tiền” khác nhau - có rủi ro khác nhau thì lãi suất chiết khấu (ke) áp dụng cho mỗi cũng thức cũng khác. Đối với phương pháp chiết khấu dòng cổ tức hay FCFE, dòng tiền này thuộc về cổ đông, nên lãi suất chiết khấu sẽ được lấy là tỷ suất sinh lời yêu cầu trên vốn chủ sở hữu (có thể xác định bằng công thức CAPM). Đối với FCFF lãi suất chiết khấu thường được tính theo chi phí sử dụng vốn bình quân - WACC
Các “dòng tiền’’ trong phương pháp DCF
Dòng cổ tức
Cổ tức là một phần lợi nhuận sau thuế được chia cho các cổ đông của một công ty cổ phần. Cổ tức có thể được trả bằng tiền, cổ phiếu. Dòng cổ tức là các dòng tiền từ cổ tức mà nhà đầu tư sẽ được nhận trong tương lai. Phương pháp chiết khấu dòng cổ tức còn được gọi là DDM - Dividend Discount Method. Giá trị P0 theo phương pháp DDM sẽ là giá trị nội tại của một cổ phiếu, thay vì giá trị của của doanh nghiệp. Do đó để tính giá trị của doanh nghiệp theo DDM ta cần làm thêm một bước: nhân giá trị nội tại P0 với tổng số lượng cổ phiếu phổ thông của doanh nghiệp.
Nhược điểm lớn nhất của phương pháp DDM là không tính được giá trị của các doanh nghiệp không chia cổ tức.
Tại sao có những công ty không bao giờ chia cổ tức?
Dòng tiền tự do - Free cash flow
Free cash flow là dòng tiền được tạo ra từ hoạt động kinh doanh thuộc về doanh nghiệp sau khi tính đến những thay đổi về tài sản, nợ phải trả và chi phí vốn. Dòng tiền tự do của doanh nghiệp được chia thành dòng tiền tự do thuộc về chủ sở hữu (FCFE) và dòng tiền tự do thuộc về công ty (FCFF), bao gồm cả chủ nợ và chủ sở hữu.
Dòng tiền tự do thuộc về chủ sở hữu - Free Cash Flow to the Equity - FCFE. Đây là dòng tiền trong kỳ thuộc sở hữu của các cổ đông mà các cổ đông sau khi đã tính đến chi tiêu vốn cho đầu tư tài sản và thanh toán nợ gốc. FCFE được tính như sau:
FCFE = Dòng tiền từ hoạt động kinh doanh – Chi phí vốn + Các khoản đi vay mới – Các khoản thanh toán nợ gốc
Dòng tiền tự do thuộc về doanh nghiệp - Free Cash Flow to the Firm - FCFF: là dòng tiền được tạo ra từ hoạt động kinh doanh thuộc về các chủ nợ và chủ sở hữu sau khi trừ đi những khoản đầu tư cần thiết. FCFF được tính như sau:
Cách 1: Cộng các dòng tiền thu nhập của chủ nợ và chủ sở hữu doanh nghiệp:
FCFF = FCFE + Chi phí lãi vay x (1 – Thuế suất thuế TNDN) + Thanh toán nợ gốc – Vay nợ mới + Cổ tức ưu đãi
Cách 2: Sử dụng EBIT:
FCFF = EBIT x (1 – Thuế suất thuế TNDN) – Chi đầu tư mới vào TSCĐ + Khấu hao – Thay đổi Vốn lưu động.
Các yếu tố cần xác định trước khi định giá
Thứ nhất, dự phóng dòng tiền (CFt): để thực hiện DCF, dòng tiền chính là yếu tố cốt lõi. Khi dự phóng dòng tiền cần lưu ý chỉ nên dự phóng dựa vào triển vọng kinh doanh thực tế theo từng giai đoạn của doanh nghiệp. Thời gian dự phóng thường nằm trong khoảng từ 5 đến 10 năm. Vì thời gian càng dài thì việc dự phóng dòng tiền càng thiếu chính xác.
Thứ hai, xác định giá trị cuối kỳ (Pt): trong các phương pháp chiết khấu dòng tiền, giá trị cuối kỳ sẽ là giá trị mà nhà đầu tư nhận lại khi tất toán khoản đầu tư. Đối với trái phiếu, giá trị cuối kỳ sẽ là phần mệnh giá mà công ty thanh toán cho nhà đầu tư khi đáo hạn. Tuy nhiên trong định giá công ty, giá trị cuối kỳ được hiểu là giá trị nội tại của công ty tại thời điểm ‘t’.
Thứ ba, lãi suất chiết khấu (ke): lãi suất chiết khấu trong phương pháp DCF còn được gọi là tỷ suất lợi nhuận kỳ vọng, là mức sinh lời mà nhà đầu tư kỳ vọng nhận được khi đầu tư vào doanh nghiệp. Do đó, lãi suất chiết khấu thường phải cao hơn mức lãi suất của các khoản đầu tư phi rủi ro như trái phiếu chính phủ hay gửi tiết kiệm. Các nhà phân tích thường sử dụng “mô hình định giá tài sản vốn (CAPM)” hoặc chi phí sử dụng vốn bình quân (WACC) để làm lãi suất chiết khấu.
CAPM
Theo: Nguyễn Dương / ProFin




