Mô hình tăng trưởng Gordon
Mô hình tăng trưởng Gordon (Gordon Growth Model - GGM) là mô hình định giá công ty theo phương pháp chiết khấu dòng tiền, với giả định rằng công ty này sẽ tăng trưởng với một tốc độ ổn định trong tư�
💡 Theo giả định này, các dòng tiền mà công ty tạo ra trong tương lai cũng sẽ tiếp tục tăng trưởng với một tốc độ ổn định và liên tục.
Hạn chế chính của mô hình Gordon nằm ở các giả định về sự tăng trưởng liên tục của các dòng tiền, bởi vì rất hiếm các công ty thực sự tăng trưởng liên tục do tác động bởi chu kỳ kinh doanh hoặc rủi ro thị trường.
Mô hình này sẽ cho kết quả chuẩn xác hơn khi áp dụng với các công ty có đặc thù kinh doanh ổn định và ít chịu tác động bởi chu kỳ.
Mô hình tăng trưởng Gordon (Gordon Growth Model - GGM) là mô hình định giá công ty theo phương pháp chiết khấu dòng tiền, với giả định rằng công ty này sẽ tăng trưởng với một tốc độ ổn định trong tương lai.
Giả định của mô hình tăng trưởng Gordon
Mô hình tăng trưởng Gordon định giá cổ phiếu của một công ty dựa trên giả định:
Công ty sẽ tồn tại mãi mãi; và
Tiếp tục tăng trưởng liên tục và ổn định.
Theo giả định này, các dòng tiền mà công ty tạo ra trong tương lai cũng sẽ tiếp tục tăng trưởng với một tốc độ ổn định và liên tục.
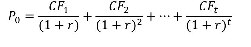
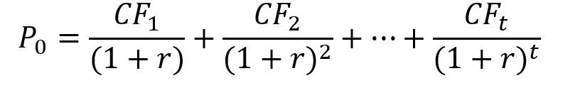
Công thức tính
Công thức tính giá trị nội tại của công ty dựa theo phương pháp DCF sẽ là:
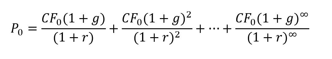
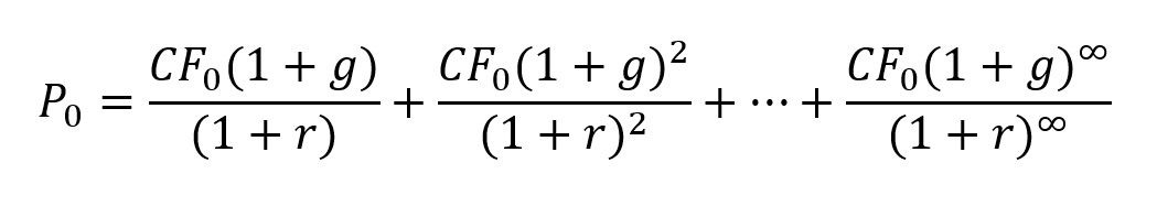
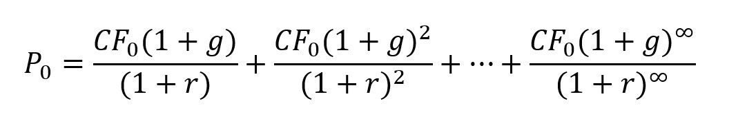
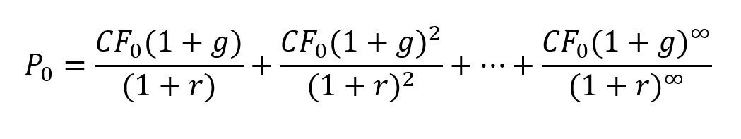
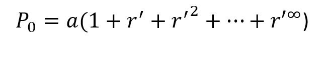
Dựa vào giả định của mô hình Gordon, dòng tiền CF sẽ tăng trưởng mãi mãi với tốc độ g không đổi, do đó:
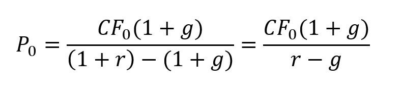
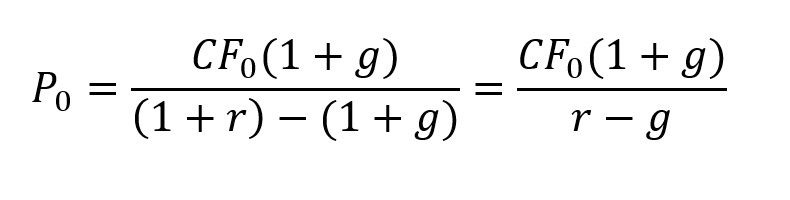
Dựa vào công thức hồi quy, ta có ng thức tính giá trị nội tại trong mô hình tăng trưởng Gordon là:
Trong đó:
P0: Giá trị nội tại của công ty được tính theo mô hình Gordon;
g: Tốc độ tăng trưởng của dòng tiền;
r: lãi suất chiết khấu, được lấy từ mô hình định giá tài sản vốn - CAPM hoặc tỷ suất hoàn vốn nội bộ WACC.
CF0: dòng tiền ở hiện tại của doanh nghiệp, CF0 có thể là cổ tức, dòng tiền FCFE hoặc FCFF.
Ví dụ: công ty A có cổ phiếu đang giao dịch ở mức 48.000 đồng/cổ phiếu. Công ty này vừa trả cổ tức 3.000 đồng/cổ phiếu (D0). Một nhà đầu tư muốn định giá công ty này dựa trên tỷ lệ tăng trưởng cổ tức trong lịch sử là 5% (g) mỗi năm, và dự đoán công ty sẽ tiếp tục trả cổ tức trong tương lai với mức tăng trưởng này. Tỷ suất sinh lời yêu cầu của nhà đầu tư với cổ phiếu này là 10%/năm, như vậy giá trị nội tại của cổ phiếu sẽ được tính như sau:
P0 = [CF0x(1+g)] / (r - g) = [3.000x(1 + 5%)] / (10% - 5%) = 63.000 đồng
Giá trị nội tại của cổ phiếu công ty A là 63.000 đồng/cổ phiếu.
Giải thích công thức rút gọn trong mô hình Gordon
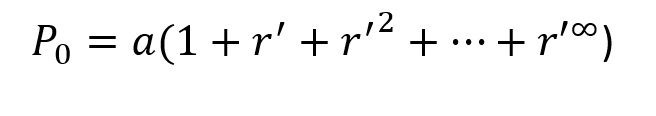
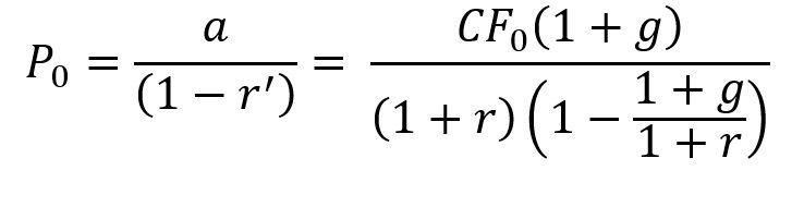
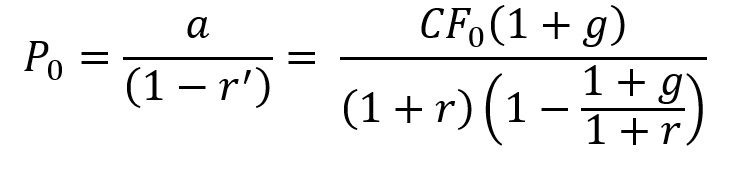
Từ công thức:
Đặt:
a = CF0.(1+g)/(1+r)
r’ = (1+g)/(1+r)
Nếu |r’| >= 1, tức r<=g. Điều này có nghĩa tỷ suất sinh lời kỳ vọng nhỏ hơn hoặc bằng với tốc độ tăng trưởng dòng tiền. Theo công thức trên giá trị P0 của doanh nghiệp sẽ tiến tới vô cực. Lúc đó việc định giá sẽ không còn ý nghĩa vì giá trị nội tại của doanh nghiệp phải là một số hữu hạn để nhà đầu tư đưa ra các bước phân tích tiếp theo.
Nếu |r’|<1, tức r>g, tỷ suất sinh lời kỳ vọng lớn hơn tốc độ tăng trưởng của dòng tiền. Khi đó tổng của chuỗi trong ngoặc sẽ hội tụ về với giá trị bằng 1/(1-r’).
Khi đó công thức sẽ được viết lại như sau:
Rút gọn mẫu số ta được:
Các tham số cho mô hình tăng trưởng Gordon
Ba yếu tố đầu vào quan trọng mô hình Gordon là:
Dòng tiền (CF): là các dòng tiền mà nhà đầu tư sẽ được hưởng khi đầu tư vào công ty. Dòng tiền này có thể là dòng cổ tức bằng tiền, dòng tiền tự do thuộc về chủ sở hữu (FCFE) hoặc dòng tiền tự do thuộc về công ty (FCFF);
Tốc độ tăng trưởng của dòng tiền (g): được hiểu là tốc độ tăng trưởng hằng năm của dòng tiền. Theo đó dòng tiền năm nay của công ty sẽ bằng dòng tiền năm liền trước đó tăng thêm g%. Vd năm nay doanh nghiệp trả cổ tức là 10.000 đồng/cp, với tốc độ tăng trưởng cổ tức (g) là 5%, như vậy dự kiến cổ tức được chia vào năm sau sẽ bằng 10.000x(1+5%) = 10.500 đồng/ cổ phiếu.
Tỷ suất lợi nhuận yêu cầu (r). Tỷ suất sinh lợi yêu cầu là tỷ suất sinh lợi tối thiểu mà các nhà đầu tư sẵn sàng chấp nhận khi mua cổ phiếu của một công ty. Tỷ suất này có thể được xác định bằng công thức CAPM nếu dòng tiền chiết khấu là cổ tức hoặc FCFE, hoặc WACC nếu dòng tiền là FCFF.
Hạn chế của Mô hình tăng trưởng Gordon
Hạn chế chính của mô hình Gordon nằm ở các giả định về sự tăng trưởng liên tục của các dòng tiền, bởi vì rất hiếm các công ty thực sự tăng trưởng liên tục do tác động bởi chu kỳ kinh doanh hoặc rủi ro thị trường. Do đó, mô hình này sẽ cho kết quả chính xác hơn nếu được áp dụng với các công ty có tốc độ tăng trưởng ổn định và ít chịu ảnh hưởng bởi tính chu kỳ kinh doanh.
Vấn đề thứ hai xảy ra với yếu tố tỷ suất sinh lời kỳ vọng và tốc độ tăng trưởng được sử dụng trong mô hình. Nếu tỷ suất sinh lời kỳ vọng (r) thấp hơn hoặc bằng tốc độ tăng trưởng của dòng tiền (g), thì mô hình trở nên vô nghĩa. Để sử dụng mô hình này, điều kiện bắt buộc là lãi suất sinh lời kỳ vọng phải luôn luôn lớn hơn tốc độ tăng trưởng của dòng tiền.









