NPV
NPV là thuật ngữ trong ngành tài chính dùng để chỉ tổng giá trị hiện tại của các dòng tiền trong tương lai.
💡 NPV được sử dụng nhiều trong lập ngân sách vốn và lập kế hoạch đầu tư để phân tích khả năng sinh lời của một dự án đầu tư đầu tư.
NPV > 0 thể hiện rằng thu nhập có được từ dự án lớn hơn so với chi phí dự kiến cho dự án đó, chủ doanh nghiệp có thể đưa ra quyết định tiến hành.
NPV < 0 thể hiện dự án không tạo ra lợi nhuận, nhà đầu tư hoặc chủ doanh nghiệp có thể cân nhắc từ chối thực hiện dự án.
NPV là viết tắt của Net Present Value. Đây là thuật ngữ trong ngành tài chính dùng để chỉ tổng giá trị hiện tại của các dòng tiền trong tương lai. NPV được sử dụng nhiều trong lập ngân sách vốn và lập kế hoạch đầu tư để phân tích khả năng sinh lời của một dự án đầu tư đầu tư.
Ý nghĩa của NPV
Để xem liệu khoản đầu tư hay một dự án có thu được lợi nhuận hay không, doanh nghiệp sẽ tổng hợp các dòng tiền dự kiến sẽ được nhận từ khoản đầu tư hay dự án đó, sau đó so sánh với chi phí vốn cần thiết để đầu tư dự án đó. Tuy nhiên, do yếu tố giá trị theo thời gian của tiền, các dòng tiền được tạo ra trong tương lai phải được chiết khấu về thời điểm hiện tại.
Khi tính ra được NPV của dự án, doanh nghiệp sẽ tiến hành đánh giá hiệu quả đầu tư dự án như sau:
Trường hợp NPV > 0: Điều này thể hiện rằng thu nhập có được từ dự án lớn hơn so với chi phí dự kiến cho dự án đó. Vì vậy, những dự án có NPV > 0 là những dự án có lời và nhà đầu tư hoặc chủ doanh nghiệp có thể đưa ra quyết định tiến hành.
Trường hợp NPV < 0: Điều này thể hiện lợi nhuận kỳ vọng kiếm được thấp hơn so với chi phí dự kiến đổ vào dự án. Điều này có nghĩa rằng dự án không tạo ra lợi nhuận hoặc nếu NPV âm lớn thì dự án có khả năng lỗ nặng. Lúc này, nhà đầu tư, kinh doanh hay chủ doanh nghiệp có thể cân nhắc từ chối thực hiện dự án,
Trường hợp NPV = 0: Điều này thể hiện rằng dự án đầu tư nhiều khả năng sẽ hòa vốn.
Tính NPV
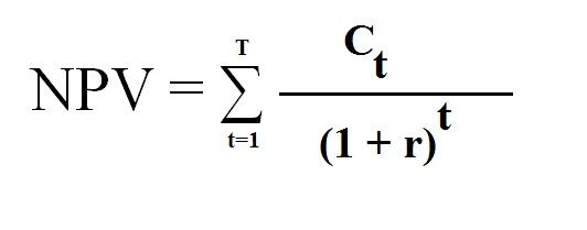
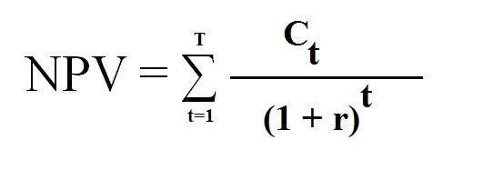
NPV được tính theo công thức sau:
Với:
Ct là dòng tiền ròng vào thời điểm t. Dòng tiền này có thể âm hoặc dương. Thông thường với dự án đầu tư, dòng tiền tại thời điểm t = 0 thường là âm vì nó đại diện cho chi phí đầu tư ban đầu để thực hiện dự án.
r là tỷ lệ chiết khấu.
T là thời gian hoạt động của dự án.
Ví dụ : Một dự án có tổng vốn đầu tư ban đầu là 50 tỷ, thời gian hoạt động là 5 năm. Dòng tiền của dự án được dự phóng như sau:
Tính NPV của dự án với lãi suất chiết khấu là 10%.
Theo công thức trên ta có NPV của dự án được tính như sau:
NPV = 13.18 tỷ đồng.
Vậy, nếu thực hiện dự án thì doanh nghiệp dự kiến sẽ thu được lợi nhuận là 13.18 tỷ đồng.





