WACC
WACC (Weighted Average Cost Of Capital) là chi phí sử dụng vốn bình, được tính toán dựa trên tỷ trọng các loại vốn mà doanh nghiệp đang sử dụng.
💡 Vốn của công ty bao gồm vốn chủ sở hữu và nợ.
Khi tính WACC, doanh nghiệp sẽ biết để sử dụng đồng vốn này, công ty phải tốn bao nhiêu chi phí.
Các nhà quản trị sử dụng WACC để đưa ra quyết định đầu tư, thực hiện dự án. Nếu cơ hội đầu tư, dự án có tỷ lệ hoàn vốn nội bộ (IRR) thấp hơn WACC, điều này cho thấy công ty sẽ không có lợi ích về mặt kinh tế khi thực hiện đầu tư.
WACC còn được sử dụng làm lãi suất chiết khấu trong phương pháp định giá DCF với dòng tiền chiết khấu là FCFF.
WACC (Weighted Average Cost Of Capital) là chi phí sử dụng vốn bình, được tính toán dựa trên tỷ trọng các loại vốn mà doanh nghiệp đang sử dụng.
Vốn của công ty bao gồm vốn chủ sở hữu và nợ. Vốn chủ sở hữu gồm có: cổ phiếu phổ thông, cổ phiếu ưu đãi. Nợ gồm có: trái phiếu, các khoản nợ khác như vay ngân hàng.
Ý nghĩa của WACC
Khi tính WACC, doanh nghiệp sẽ biết để sử dụng đồng vốn này, công ty phải tốn bao nhiêu chi phí. Thông thường trong thực tế hoạt động kinh doanh, để đáp ứng nhu cầu vốn cho quá trình đầu tư, doanh nghiệp phải tận dụng nhiều nguồn vốn khác nhau. Mỗi nguồn tài trợ vốn có chi phí sử dụng không giống nhau. Do vậy, doanh nghiệp cần phải xác định chi phí sử dụng vốn bình quân để xem xét sự kết hợp của các loại nguồn vốn với nhau sẽ tốn chi phí như thế nào.
Các nhà quản trị sử dụng WACC để đưa ra quyết định đầu tư, thực hiện dự án. Nếu cơ hội đầu tư, dự án có tỷ lệ hoàn vốn nội bộ (IRR) thấp hơn WACC, điều này cho thấy công ty sẽ không có lợi ích về mặt kinh tế khi thực hiện đầu tư.
WACC còn được sử dụng làm lãi suất chiết khấu trong phương pháp định giá DCF với dòng tiền chiết khấu là FCFF.
Công thức tính WACC
WACC được tính trên tổng của các chi phí sử dụng vốn thành phần theo tỷ trọng. Cụ thể theo công thức sau:
Trong đó:
rE: chi phí sử dụng vốn cổ phần thường;
rD: chi phí sử dụng nợ;
rEp: chi phí sử dụng vốn cổ phần ưu đãi;
E/V: Tỷ trọng của vốn cổ phần thường trong cơ cấu nguồn vốn;
Ep/V: Tỷ trọng của vốn cổ phần ưu đãi trong cơ cấu nguồn vốn;
D/V: Tỷ trọng của nợ vay trong cơ cấu nguồn vốn;
V: Tổng nguồn vốn của doanh nghiệp (V = E + Ep + D)
T: Thuế suất thuế thu nhập doanh nghiệp.
Ví dụ: một công ty cổ phần có tổng số vốn là 800 triệu đồng và được hình thành từ các nguồn tài trợ sau:
Vốn vay: 360 triệu, tỷ trọng 45%;
Cổ phần ưu đãi: 20 triệu đồng, tỷ trọng 2,5%;
Vốn cổ phần thường 420 triệu đồng, tỷ trọng 52,5%.
Theo tính toán, chi phí sử dụng vốn vay trước thuế là 11%/năm, chi phí sử dụng cổ phần ưu đãi là 12%/năm, chi phí sử dụng vốn cổ phần thường là 15%. Thuế suất thuế TNDN là 20%. Tính chi phí sử dụng vốn bình quân của công ty.
WACC = (52,5% x 15%) + (2,5% x 12%) + (45% x 11%)x(1-20%)
= 7,88% + 0,3% + 3,96% = 12,44%
Các thành phần trong WACC
Tỷ trọng các nguồn vốn
Tỷ trọng của từng nguồn vốn được xác định dựa vào cấu trúc vốn mục tiêu mà doanh nghiệp hướng tới trong tương lai. Bởi vì ở thời điểm hiện tại, doanh nghiệp có thể vẫn chưa đạt được cấu trúc vốn phù hợp để tối ưu chi phí sử dụng vốn. Do đó mục tiêu của doanh nghiệp sẽ là thay đổi cấu trúc vốn hiện tại để đạt được hiệu quả sử dụng vốn tối ưu, với chi phí thấp nhất. Khi đó cấu trúc vốn này sẽ được giữ ổn định.
Trong trường hợp không thể xác định cấu trúc vốn mục tiêu của doanh nghiệp hoặc doanh nghiệp đã đạt cấu trúc vốn tối ưu, thì có thể lấy giá trị thị trường hiện tại của các nguồn vốn, hoặc sử dụng cấu trúc vốn của ngành để làm tham chiếu cho việc tính toán.
Chi phí sử dụng vốn cổ phần thường
Đối với vốn cổ phần thường, chi phí sử dụng vốn không dễ để xác định vì các khoản lợi tức mà doanh nghiệp trả cho cổ đông không được cam kết ngay từ đầu - trừ trường hợp cổ phần ưu đãi. Do đó, chi phí sử dụng vốn chủ sở hữu thường được xác định dưới góc độ nhà đầu tư, dựa trên “tỷ suất sinh lời kỳ vọng”. Tỷ suất sinh lời kỳ vọng này có thể được xác định bằng mô hình mô hình định giá tài sản vốn CAPM
Chi phí sử dụng vốn cổ phần ưu đãi
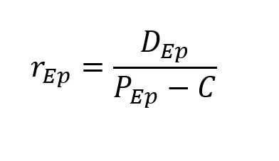
Khác với cổ phần thường, cổ phần ưu đãi cho phép nhà đầu tư được hưởng mức cổ tức ổn định và lâu dài. Do đó chi phí sử dụng vốn cổ phần ưu đãi cần được tính toán độc lập. Chi phí sử dụng vốn cổ phần ưu đãi được tính bằng công thức sau:
Trong đó:
rEp: Chi phí sử dụng vốn cổ phần ưu đãi;
DEp: Cổ tức của mỗi cổ phần ưu đãi;
PEP: : Giá phát hành mỗi cổ phần ưu đãi;
C: Chi phí phát hành mỗi cổ phiếu ưu đãi.
Ví dụ: Công ty A dự định phát hành cổ phiếu ưu đãi có các thông tin sau:
Mệnh giá 10.000 đồng/cổ phiếu,
Giá phát hành là 44.000 đồng/cổ phiếu,
Chi phí phát hành ước tính là 4.000 đồng/cổ phiếu,
Tỷ lệ cổ tức của cổ phiếu ưu đãi là 15%/năm.
Tính chi phí sử dụng vốn cổ phần ưu đãi.
Áp dụng công thức, ta được:
rEp = DEp/(PEP-C) = (15% x 10.000 đồng) / (44.000 đồng - 4.000 đồng) = 3,75%
Chi phí sử dụng vốn vay
Đối với vốn vay, chi phí sử dụng vốn sẽ là tiền lãi từng kỳ được tính trên khoản vay Nhìn chung các chi phí sử dụng vốn nợ tương đối dễ xác định vì ngay từ đầu phía doanh nghiệp và các chủ nợ đã thống nhất với nhau về khoản chi phí này.
Do lãi vay là một chi phí được khấu trừ thuế thu nhập doanh nghiệp, trong khi chi phí cho vốn chủ sở hữu thì không được. Do đó để công bằng trong việc xem xét, chi phí sử dụng vốn vay sau thuế sẽ được áp dụng.




